首頁 > 產品中心 > 分析標準品 > 氣相色譜標準品(色標)
產品中心
相關產品
氣相色譜標準品(色標)
|
產品編號 |
英文名稱 |
CAS號 |
包裝 |
|
Y3471 |
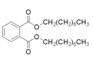
Di-n-octyl phthalate |
117-84-0 |
可根據客戶要求訂制 |
英文名稱:Di-n-octyl phthalate
CAS號 117-84-0
standard for GC,≥99.0%(GC)
分子式 C24H38O4 分子量390.56
基本信息:
密度 0.98
熔點 -55°C
沸點 386.9°C
描述
產品介紹 有特殊氣味。著火點241℃,粘度81.4mPa?s,蒸氣壓(200℃)176Pa。25℃時該品在水中溶解度< 0.01%,水在該品中的溶解度0.2%。溶于大多數有機溶劑和烴類,微溶于甘油、乙二醇。與大多數工業用樹脂有良好的相容性。與醋酸纖維素;聚醋酸乙烯酯部分相容。
別名 鄰苯二甲酸二正辛酯 ;Phthalic acid di-n-octyl ester DNOP
應用氣相色譜固定液,選擇性保留和分離芳香族化合物、不飽和化合物以及各種含氧化合物(醇、醛、酮、酯等)。溶劑。增塑劑。
- 上一條:4,4'-二氨基二苯甲烷
- 下一條:間二氯苯
