產品中心
相關產品
中藥標準品
|
產品編號 |
英文名稱 |
CAS號 |
包裝 |
|
Y3669 |
Artemether |
71963-77-4 |
可根據客戶要求訂制 |
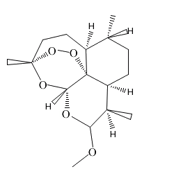
英文名稱:Artemether
CAS號:71963-77-4
分析標準品,≥98%
分子式 C16H26O5 分子量298.38

基本信息:
密度 1.18
熔點 86-88°C
存貯條件 密封保存
描述
產品介紹
www.aladdin-reagent.com
α型為黏性油,β型為無色片狀結晶。 熔點:89℃
別名 蒿甲醚 ;青蒿醚 ;
熔點 86-88°C
存貯條件 密封保存
描述
產品介紹
www.aladdin-reagent.com
α型為黏性油,β型為無色片狀結晶。 熔點:89℃
別名 蒿甲醚 ;青蒿醚 ;
