產品中心
相關產品
中藥標準品
|
產品編號 |
英文名稱 |
CAS號 |
包裝 |
|
Y3747 |
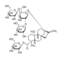
Rebaudioside A |
58543-16-1 |
可根據客戶要求訂制 |
英文名稱:Rebaudioside A
CAS號:58543-16-1
分析標準品,≥97%
分子式 C44H70O23 分子量967.01

基本信息:
密度1.58
描述
別名 A甙甜菊糖 ;瑞鮑迪甙A ;(4α)-13-[(2-O-β-D-glucopyranosyl-3-O-β-D-glucopyranosyl-β-D-glucopyranosyl)-oxy]kaur-6-en-8-oic acid β-D-glucopyranosyl ester
描述
別名 A甙甜菊糖 ;瑞鮑迪甙A ;(4α)-13-[(2-O-β-D-glucopyranosyl-3-O-β-D-glucopyranosyl-β-D-glucopyranosyl)-oxy]kaur-6-en-8-oic acid β-D-glucopyranosyl ester
