產品中心
農業和環境標準品
|
產品編號 |
英文名稱 |
CAS號 |
包裝 |
|
Y0259 |
Bis(methylglycol) phthalate |
117-82-8 |
可根據客戶要求訂制 |
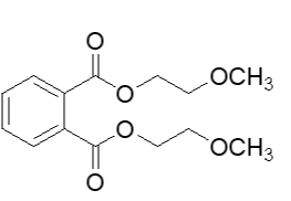
產品編號:Y0259
英文名稱:Bis(methylglycol) phthalate
CAS號 117-82-8
分析標準品,用于環境分析
分子式 C14H18O6 分子量282.29
基本信息:
折光率 1.503
密度 1.1730
沸點 230°C
描述
產品介紹 能與醇、丙酮、石油醚和油類等多種有機溶劑混溶,微溶于甘油、乙二醇。具芳香氣味。
別名 鄰苯二甲酸二(2-甲氧基)酯 ;鄰苯二甲酸二甲氧乙酯;Bis(2-methoxyethyl) phthalate Dimethylglycol phthalate Phthalic Acid Bis(2-methoxyethyl) Ester
應用 主要用作乙酸纖維素的增塑劑,它的揮發性比鄰苯二甲酸二乙酯小,可有很好的耐久性,同時使薄膜具有堅韌性。可用于漆包線、電影膠片、高強度清漆、膠粘劑和層壓板膠粘劑等;也用作氣相色譜固定液、三乙酸片基的增感劑和溶劑。
