產品中心
農殘、獸藥及化肥類
|
產品編號 |
英文名稱 |
CAS號 |
包裝 |
|
Y1629 |
Cadusafos solution |
95465-99-9 |
可根據客戶要求訂制 |
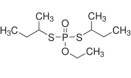
產品編號:Y1629
英文名稱:Cadusafos solution
CAS號: 95465-99-9
100mg/L,基體:丙酮
分子式 C10H23O2PS2 分子量270.39

基本信息:
敏感性 對光敏感
存貯條件 儲存溫度2-8℃
描述
別名 硫線磷 ;克線丹;
應用 校準儀器和裝置;評價方法;工作標準;質量保證/質量控制;其他。
