產品中心
相關產品
生命科學標準品
|
產品編號 |
英文名稱 |
CAS號 |
包裝 |
|
Y0685 |
Lasalocid A sodium salt solution |
25999-20-6 |
可根據客戶要求訂制 |
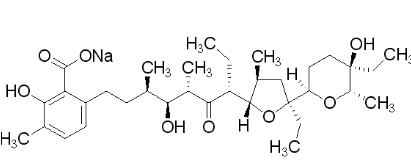
產品編號:Y0685
英文名稱:Lasalocid A sodium salt solution
CAS號 25999-20-6
100 ng/μL,基體:乙腈
分子式 C34H53NaO8 分子量612.77
基本信息:
密度1.119
存貯條件2-8℃
描述
別名拉沙洛西鈉;
- 上一條:鹽酸林可霉素一水合物
- 下一條:鹽酸左旋咪唑
