產品中心
生命科學標準品
|
產品編號 |
英文名稱 |
CAS號 |
包裝 |
|
Y0694 |
Doxycycline hyclate |
24390-14-5 |
可根據客戶要求訂制 |
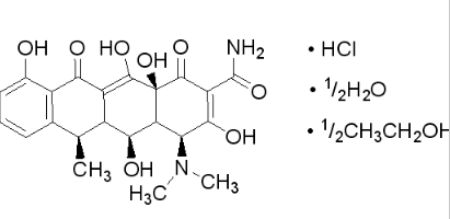
產品編號:Y0694
英文名稱:Doxycycline hyclate
CAS號 24390-14-5
分析標準品
分子式 C22H24N2O8?HCl 分子量512.94
基本信息:
存貯條件儲存溫度2-8℃
描述
別名鹽酸強力霉素 ;脫氧土霉素鹽酸鹽,鹽酸多西環素,6-甲基-4-(二甲氨基)-3,5,10,12,12a-五羥基-1,11-二氧代-1,4,4a,5,5a,6,11,12a-八氫-2-并四苯甲酰胺鹽酸鹽 ;Doxycycline hydrochloride hemiethanolate hemihydrate
應用廣譜抗生素,土霉素的衍生物。體內金屬蛋白酶廣譜抑制劑。
- 上一條:順式-4,7,10,13,16,19-二十二碳六烯酸甲酯
- 下一條:左旋多巴
