產品中心
食品和飲料標準品
|
產品編號 |
英文名稱 |
CAS號 |
包裝 |
|
Y3278 |
Saccharin sodium salt hydrate |
82385-42-0 |
可根據客戶要求訂制 |
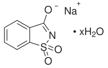
產品編號:Y3278
英文名稱:Saccharin sodium salt hydrate
CAS號 82385-42-0
分析標準品
分子式 C7H4NNaO3S·xH2O 分子量205.17
基本信息:
敏感性 對光敏感
熔點 226-231°C
存貯條件 常溫避光處保存。
描述
產品介紹 易溶于水,略溶于乙醇。無臭,味甜帶苦。甜度=300×蔗糖
別名 糖精鈉鹽水合物; 鄰磺酰苯酰亞胺鈉鹽; 可溶性糖精; 2-磺基苯酸亞胺鈉鹽; 可溶糖精; 鄰磺酰苯甲酰亞胺鈉鹽;o-Benzoic sulfimide sodium salt hydrate; 2,3-Dihydro-3-oxobenzisosulfonazole sodium salt; 2-Sulfobenzoic acid imide sodium salt; Saccharin sodium hydrate; 1,2-Benzisothiazol-3(2H)-one 1,1-dioxide sodium salt hydrate
