產品中心
相關產品
食品和飲料標準品
|
產品編號 |
英文名稱 |
CAS號 |
包裝 |
|
Y3103 |
Linarin |
80-36-4 |
可根據客戶要求訂制 |
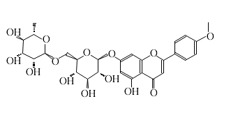
產品編號:Y3103
英文名稱:Linarin
CAS號 480-36-4
分析標準品,≥98%
分子式 C28H32O14 分子量592.54
基本信息:
密度 1.62
描述
別名 蒙花苷;Buddleoside 2-(4-methoxyphenyl)-4H-benzopyran-4-one 7-((6-O-(6-Deoxy-alpha-L-mannopyranosyl)-beta-D-glucopyranosyl)oxy)-5-hydroxy-
